buerokraten.alchima.de   Transparenz in Augsburg

So sieht’s im Wasserschutzgebiet Augsburg aus

 

Wer sagt denn, dass Wasserschutzgebiete immer reine Natur sind?

Trinkwasserschutzgebiet Augsburg 

Der Stadtteil Augsburg / Haunstetten ist weitflächig Wasserschutzgebiet!
In der Weiteren Schutzzone W III a2 (Schutzgebietskarte: grün) liegt u.a. auch das Univiertel, sowie der Gewerbe-Bereich Schafweid- und Weddigenstraße (beim Eichamt), Bischofsackerweg.
Dort sind z.B. Industriebetriebe, Druckereien, die Wafa Kunststoffe Fabrik, Lackierereien, EADS Premium Aerotec und viele, viele weitere Firmen und Betriebe, die hoffentlich alle die besonderen Schutzzonenauflagen kennen und auch einhalten. Damit rechnen wir natürlich!

 

Verordnung Trinkwasserschutz Augsburg und Königsbrunn (pdf) - die hier in Augsburg-Haunstetten, sowie in Siebenbrunn und Königsbrunn, geltende Wasserschutzgebietsverordnung WSG-VO gemäß Amtsblatt Nr. 27 der Regierung von Schwaben, 35. Jahrgang, vom 6. Dezember 1991

Schutzgebietskarte Augsburg und Königsbrunn (pdf) - die entsprechenden Schutzzonen z.B. hier in Haunstetten 

 

 

 

 

Trinkwasserschutzgebiet Augsburg 

Trinkwasserschutzgebiet Augsburg 

Trinkwasserschutzgebiet Augsburg 

Dieses Bild zeigt die Schafweidstraße, in deren Mitte verläuft eine Schutzzonengrenze.
Linke Seite  = Weitere Schutzzone W III b   -  
rechte Seite = Weitere Schutzzone W III a2 früher A2

Die linke, südliche, Seite hat gelockerte Auflagen (zum Glück für die dortigen Wohnhäuser), während die Betriebe und Wohnhäuser auf der rechten Straßenseite strenge Auflagen der Umweltbehörden für den Wasserschutz beachten müssen.

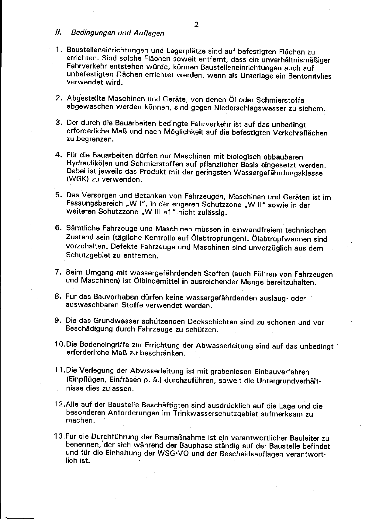
Untenstehende Bedingungen und Auflagen stellte die Untere Wasserrechtsbehörde des Umweltamts der Stadt Augsburg in einem Genehmigungsbescheid in der Zone W III a2.

 

 

 

 

Wasserschutzzonen

Verordnung Trinkwasserschutz Augsburg und Königsbrunn WSG-VO (pdf)

Schutzgebietskarte Augsburg und Königsbrunn (pdf)

 

 

 

Die Schutzgebietskarte zeigt, dass nicht nur Stadtwald, sondern fast der ganze Stadtteil Haunstetten dazu gehört. 
Die Zonen gliedern sich in Bereiche mit unterschiedlich strengen Auflagen:

  • Fassungsbereich W I  (der “Hochsicherheitsbereich”)
  • Engere Schutzzone W II
  • Weitere Schutzzone W III a1 früher A1 (die strengste der weiteren Zonen)
  • Weitere Schutzzone W III a2 früher A2
  • Weitere Schutzzone W III b früher b  (die “leichteste” Zone)

Der frühere CSU-Umweltreferent Rainer Schaal kannte offenbar die geltende Wasserschutzverordnung (WSG-VO) nicht, denn auf Anfrage der Augsburger Allgemeinen erklärte er (Artikel vom 19.2.2013) - Zitat:

„Es gibt mehrere Schutzzonen im Trinkwasserschutzgebiet. Ellensindstraße und Forsthausweg, wo die Mitarbeiterparkplätze (Anm.: der Fa. Premium Aerotec) entstehen, gehörten zur niedrigsten Schutzzone W III a1. In dieser „erweiterten Trinkwasserschutzzone“ brauche das Unternehmen keine Ausnahmegenehmigung für das Bauvorhaben. Der Bauherr müsse lediglich gewährleisten, dass die Entsorgung des Straßen- und Schmutzwassers auf dem Parkplatz über die Kanalisation erfolge, erläutert Schaal.“

Aber aus der, seit 1991 bestehenden WSG-VO geht hervor:

  • die weitere Schutzzone W III a1 ist nicht die niedrigste wie Schaal meint, sondern die strengste der weiteren Zonen. Dort ist fast alles verboten!
  • man braucht dort sehr wohl eine Ausnahmegenehmigung für alle Bauvorhaben und Grabungen/Erdaufschlüsse bzw. Kanalisation, Rohrleitungen etc.
  • so eine Ausnahmegenehmigung ist mit strengen Auflagen verbunden (siehe Auszug oben).

Daraus folgt: EADS braucht also keine Ausnahmegenehmigung, während gewöhnliche Häuslebauer in derselben Wasserschutzzone sehr wohl eine Ausnahmegenehmigung brauchen.

2/2013


BilderTexteHörstücke © Karin Brandl, Alchima®      Datenschutz